QUIZ : Biological molecules
TOTAL QUESTIONS: 21
1.
The diagram shows a section of DNA, with four bases identified on one strand. Which sequence of bases would be on the other strand, starting from the top?
Hint
2.
Which of these is digested by protease?
Hint
3.
The diagram shows two food tests carried out on solution X. Which nutrients are present in solution X?
Hint
4.
Which food-testing reagent shows a positive result when it turns from blue to purple?
Hint
5.
When a substance is added to meat, amino acids are produced. What is this substance?
Hint
6.
Which simple molecules are the basic units of protein?
Hint
7.
The data show the concentrations of sugar and starch in an onion. The onion is tested with Benedict’s solution and iodine solution. Which set of results is correct?
Hint
8.
Four different foods were tested for their composition. The results are shown in the table. Which food contains protein but not reducing sugar or starch?
Hint
9.
The diagram shows part of a protein molecule. What does X represent?
Hint
10.
Which nutrient produces a purple colour when mixed with biuret solution?
Hint
11.
What are the smaller basic units of starch and glycogen molecules?
Hint
12.
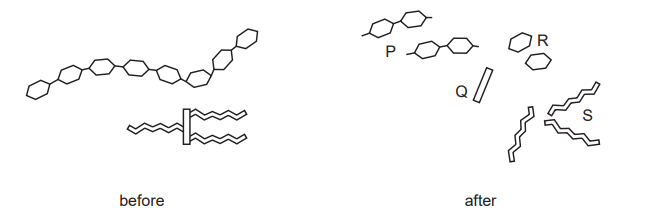
The diagram shows two food molecules before and after they have been digested by enzymes. What identifies the products of fat digestion?
Hint
13.
When bases pair up in the formation of DNA, what is one of the pairings?
Hint
14.
The diagram represents a protein molecule. What do the small circles represent?
Hint
15.
A human cell contains a length of DNA that carries the code for making which substance?
Hint
16.
The diagram shows the order of bases along part of one strand of DNA. A―C―T―T―A―G―A―T What is the order of bases on the corresponding part of the other strand?
Hint
17.
Four foods were tested for each of the following nutrients: fat (using ethanol); protein (using the biuret test); reducing sugar (using Benedict’s solution), Which food contains protein and fat?
Hint
18.
An amino acid is deaminated. This is the removal of
Hint
19.
The structures of antibodies, DNA molecules and enzymes are specific to their actions. Which feature of each molecule makes it specific?
Hint
20.
Which row shows the elements and basic units that are used in the construction of large food molecules?
Hint
21.
Small molecules are used as the basic units in the synthesis of large food molecules. Which statement is correct?
Hint
Leave a Reply